projects techreports press lab location staff
citi top.2 top.3
citi mid.3
bot.1 bot.2 bot.3
star

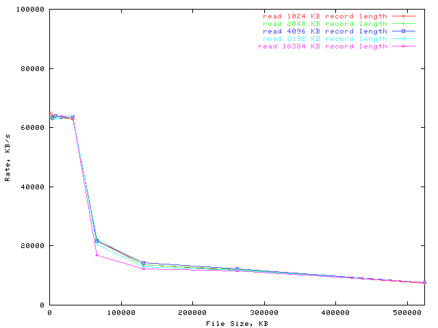
projects: nfs-perf: jnewsome: iozone: 3/26/01

Notes

Client: The client was a 400 MHz k6-2 with 128 MB of RAM, running linux 2.4.2.
Server: The server was a 4 x 550 MHz system with 512 MB of RAM, running linux 2.4.2.
Connection: 100 Mb ethernet

Graphs





Raw Data

result 1
result 2
blank.space
b.star projects | techreports | press | lab | location | staff Email address
or call +1 734 763 2929
Copyright © 1996-2013
The Regents of the University of Michigan
bottom.line
citi